医療法人社団 岡田クリニック 眼科・緑内障・糖尿病、近視進行抑制治療始めました
医療法人社団 岡田クリニック 眼科・緑内障・糖尿病(理事長:岡田 芳春)は、2025年6月より、リジュセアミニ(低濃度アトロピン)とレッドライト治療による近視進行抑制治療を始めました。レッドライト治療は、神戸市では2眼科のみとなっています。
1. リジュセアミニ(低濃度アトロピン)による治療
参天製薬よりリジュセアミニ点眼薬(アトロピン0.025%)が発売され、厚生労働省認可の近視抑制治療が始まりました。
適応は5才~15才(3才~18才も可)となっております。
強膜のムスカリン受容体に作用し、強膜のリモデリングを起こし、眼軸長の進展を抑制すると考えられています。長期点眼を考えて防腐剤フリーとし、添加物ヒドロキシエチルセルロースの働きにより、虹彩毛様体から強膜への移行を促し、散瞳を減らして強膜への長時間作用を可能としています。
当院での価格は3,800円(税込)としています。その他に、初診検査診察料3,000円、再診検査診察料1,000円が必要となります。
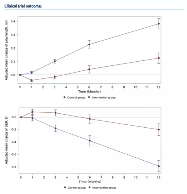
治験のオレンジスタディでは、2年間で、等価球面度数で39%減少、眼軸値で32%減少と良好な成績となっています。近視進行抑制ですので、近視が治るわけではありません。強い近視になるところを、弱い近視に止どめられる可能性があります。5年行えば、50%以上近視抑制できると思われます。
副作用は、まぶしさを感じることがあります。たいていは慣れてきますが、どうしてもまぶしいときは、隔日投与という方法もあります。
メールまたは電話での予約をお願いします。
リジュセアミニ
リジュセアミニ39%近視進行抑制
2. レッドライト治療(神戸市では2眼科のみ)
適応は、3才以上となっています。
レッドライト(赤色光)690nmの光を目に当てることにより、脈絡膜の厚みが増え、近視進行を抑制すると考えられています。近視抑制効果は、等価球面度数で驚異の87.7%抑制となっています。近視の進行を大幅に抑制できます。
大人の進行中の強度近視にも効果があるようです(治験中)。
3分間の治療を、週5回、1日2回行います。
初診検査診察料3,000円、機器貸与料88,000円+再診検査診察料(1,3,6,9,12カ月後)2,000円×5=98,000円(クレジットカードでの分割払い可)、メーカーの管理費8,250円/月が必要となります。まぶしさを感じる場合があります。
2025年4月24日のJAMA論文(メディカルトリビューン5月19日配信)で、『RLRLで網膜の微細な異常が発生』というのが出ています。
この論文に対しては、日本の第一人者(教授)が、子供のSLOは撮りにくく、アーチファクトの可能性があります。論文の筆頭著者が、オルソケラトロジーの専門家で、網膜の専門家ではないこと。中国の、様々な機器や安価な機器、強すぎる光・長時間使用を含むこと。が問題と言われています。2023年のJAMAの論文が、使用者7万5000人のうち異常は5件(0.0067%)に対して、99人(174眼)の解析に対して、11眼(6.3%)に異常がみられました。解析人数が少なく異常が多すぎる、などから疑問視されています。
メールまたは電話での予約をお願いします。
レッドライト
レッドライト87.7%近視進行抑制
【医療法人社団 岡田クリニック 眼科・緑内障・糖尿病 概要】
所在地: 〒651-0097 神戸市中央区布引町3-1-7 神戸クリニックビル8F
理事長: 岡田 芳春
URL :https://www.okadaclinic-kobe.jp
Email : yoyaku@okadaclinic.jp (質問受付中)
メールで資料お送りします。
近隣のTIMES駐車場30分無料
詳細はこちら
プレスリリース提供元:@Press
1. リジュセアミニ(低濃度アトロピン)による治療
参天製薬よりリジュセアミニ点眼薬(アトロピン0.025%)が発売され、厚生労働省認可の近視抑制治療が始まりました。
適応は5才~15才(3才~18才も可)となっております。
強膜のムスカリン受容体に作用し、強膜のリモデリングを起こし、眼軸長の進展を抑制すると考えられています。長期点眼を考えて防腐剤フリーとし、添加物ヒドロキシエチルセルロースの働きにより、虹彩毛様体から強膜への移行を促し、散瞳を減らして強膜への長時間作用を可能としています。
当院での価格は3,800円(税込)としています。その他に、初診検査診察料3,000円、再診検査診察料1,000円が必要となります。
毎月~3か月ごとの検査診察が必要となります。
治験のオレンジスタディでは、2年間で、等価球面度数で39%減少、眼軸値で32%減少と良好な成績となっています。近視進行抑制ですので、近視が治るわけではありません。強い近視になるところを、弱い近視に止どめられる可能性があります。5年行えば、50%以上近視抑制できると思われます。
副作用は、まぶしさを感じることがあります。たいていは慣れてきますが、どうしてもまぶしいときは、隔日投与という方法もあります。
メールまたは電話での予約をお願いします。
リジュセアミニ
リジュセアミニ39%近視進行抑制
2. レッドライト治療(神戸市では2眼科のみ)
適応は、3才以上となっています。
レッドライト(赤色光)690nmの光を目に当てることにより、脈絡膜の厚みが増え、近視進行を抑制すると考えられています。近視抑制効果は、等価球面度数で驚異の87.7%抑制となっています。近視の進行を大幅に抑制できます。
大人の進行中の強度近視にも効果があるようです(治験中)。
3分間の治療を、週5回、1日2回行います。
初診検査診察料3,000円、機器貸与料88,000円+再診検査診察料(1,3,6,9,12カ月後)2,000円×5=98,000円(クレジットカードでの分割払い可)、メーカーの管理費8,250円/月が必要となります。まぶしさを感じる場合があります。
先天性の遺伝性網膜疾患や網膜色素変性症は適応外となります。
2025年4月24日のJAMA論文(メディカルトリビューン5月19日配信)で、『RLRLで網膜の微細な異常が発生』というのが出ています。
この論文に対しては、日本の第一人者(教授)が、子供のSLOは撮りにくく、アーチファクトの可能性があります。論文の筆頭著者が、オルソケラトロジーの専門家で、網膜の専門家ではないこと。中国の、様々な機器や安価な機器、強すぎる光・長時間使用を含むこと。が問題と言われています。2023年のJAMAの論文が、使用者7万5000人のうち異常は5件(0.0067%)に対して、99人(174眼)の解析に対して、11眼(6.3%)に異常がみられました。解析人数が少なく異常が多すぎる、などから疑問視されています。
中国当局も、中国以外で使われているアイライジングは安全と言っています。
メールまたは電話での予約をお願いします。
レッドライト
レッドライト87.7%近視進行抑制
【医療法人社団 岡田クリニック 眼科・緑内障・糖尿病 概要】
所在地: 〒651-0097 神戸市中央区布引町3-1-7 神戸クリニックビル8F
理事長: 岡田 芳春
URL :https://www.okadaclinic-kobe.jp
Email : yoyaku@okadaclinic.jp (質問受付中)
メールで資料お送りします。
近隣のTIMES駐車場30分無料
詳細はこちら
プレスリリース提供元:@Press
関連リンク
-
Qoo10「働く男女の疲れとケアに関する調査」結果発表。ストレス社会の今…心の疲れと身体の疲れをどう解決している?働く男女の約半数が「心や身体の疲れ」を実感。20代のうち4人に1人が「身体がとても疲れている」心の疲れを感じる瞬間は「仕事や私生活が忙しいとき」心と身体でケア方法を使い分ける人も!実践しているケア20選。
-
イエベ秋がトライ! エクセル、KATEの「仕込みコンシーラー」でつくる浮かない白玉肌
-
室内でも進む光老化に備えるラインナップ発売1周年
-
新生活スタートのこの時期こそ、いいことづくめの“ベロ活”始めませんか? SHIKIEN公式HPにて健康習慣「ベロ活」の情報を公開
-
宮城県の肥満課題に新アプローチ 「永続きするダイエット」で地域の健康と医療費増加の課題に挑む