甦る懐かしい記憶 ~ 過去と未来をつなぐ香り
香りを脳の健康のバロメーターに
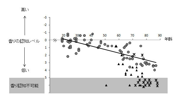
年齢を重ねると嗅覚は衰えていきます。特にパーキンソン病などの脳の病気では、匂いはするけれど何の匂いか分からない、名前を言い当てることができない(香りの認知が不可能)、また香りによって何の感情ももたなくなることが分かっています(図1)。
香りの情報は脳の中でキャッチされていながら、記憶や感情の脳部分の働きが低く、前頭葉へつなぐ経路が遮断されてしまうことが原因です。同時に前頭葉の機能、すなわち計画をたてたり、意欲的になったりすることもなくなってしまうのです。またアルツハイマー病では匂いを検知することもできなくなってしまいます。記憶や感情を司る脳の部分自体が異変を起こし、機能しなくなってしまうのです。
スマホやパソコンで視覚や聴覚ばかり使っていないで、たまには電源オフ!いつもと違う道を歩き、旅をして知らない町を歩き、様々な香りを嗅ぎ感じて欲しいと思います。何かを感じることができるのは、人間にとって本当に素晴らしいこと。
年齢を重ねると嗅覚は衰えていきます。特にパーキンソン病などの脳の病気では、匂いはするけれど何の匂いか分からない、名前を言い当てることができない(香りの認知が不可能)、また香りによって何の感情ももたなくなることが分かっています(図1)。
図1 健常者とアルツハイマー病、パーキンソン病における香りの認知レベル(縦軸)と年齢(横軸)との関係を示したもの。 ●健常者 ▲パーキンソン病 ✳アルツハイマー病 縦軸下方は認知レベルが低いことを示し、レベル5より下方は認知不可であることを示す。健常者(●)でも年齢とともに香りの認知レベルは減少していく。パーキンソン病(▲)では健常者の同年齢で比較すると認知レベルが低く、アルツハイマー病(✳)ではほとんどの患者が香りを認知することができない。 Masaoka et al., Markers of brain illness may be hidden in your olfactory ability: A Japanese Perspective. Neurosci Lett. 2013, 549:182-5 より改編。
香りの情報は脳の中でキャッチされていながら、記憶や感情の脳部分の働きが低く、前頭葉へつなぐ経路が遮断されてしまうことが原因です。同時に前頭葉の機能、すなわち計画をたてたり、意欲的になったりすることもなくなってしまうのです。またアルツハイマー病では匂いを検知することもできなくなってしまいます。記憶や感情を司る脳の部分自体が異変を起こし、機能しなくなってしまうのです。
© soft_light - Fotolia.com
スマホやパソコンで視覚や聴覚ばかり使っていないで、たまには電源オフ!いつもと違う道を歩き、旅をして知らない町を歩き、様々な香りを嗅ぎ感じて欲しいと思います。何かを感じることができるのは、人間にとって本当に素晴らしいこと。
Not know but feel! (ただ知っているのではなく、感じるのだ!)でいきましょう。過去を思いながら、未来へとつながる香りを探してみませんか。