学習時、特定の音により聴覚を刺激することで集中力向上の可能性を発見
芝浦工業大学(東京都江東区/学長 山田 純)情報工学科・菅谷 みどり教授らの研究チームは、三菱鉛筆株式会社(東京都品川区/社長 数原 滋彦)、ストーリア株式会社(東京都中央区/代表取締役 田谷 圭司)と共同で、筆記具の役割である“書く・描く”ことに加えた新たな提供価値を創出するための試みの一つとして、学習中に特定の音による聴覚刺激で集中力が向上する可能性について実証実験を実施いたしました。
今回の実証実験では、集中力が落ちてくるタイミングに、「川のせせらぎ(River Sound)」を流すことで、集中力を表す脳波が上昇することを確認しました。
なお、本論文は、IoTに関する技術を議論する国際会議、APRIS(Asia Pacific Conference on Robot IoT System Development and Platform)2023に採択されました。
■背景
学習時の集中力が低下してきたタイミングに視覚や聴覚を通じた刺激により集中力を途切れさせることなく、学習を効率的に行えるのではないかとの仮説に至り今回の実証実験につながりました。今回の実験結果を応用することで、個人の勉強だけではなく、授業の最適化、日常の作業の効率向上につながることも期待されます。
集中力の維持を個人の努力に委ねるのではなく、状況に合わせて自動的に集中力を維持、向上するようなサービスへの展開が期待されます。
なお、筆記動作から集中力を予測する研究は、「2023年度人工知能学会全国大会(第37回)」に論文が採択されております。
■実験手法
EEG※1(Electro Encephalo Graphy)信号を取得するInteraXon Inc.製のヘッドバンドを装着した実験協力者に対し、情報処理能力を測定することができるPASAT※2(Paced Auditory Serial Additions Task Clinical Assessment for Attention)テストを実施しました。
※1:EEGは、頭皮上の脳の自発的な生物学的電位を増幅して記録することによって得られる信号パターンです。この電位は脳表面の巨視的な活動を反映することが示されており、頭皮に適用される非侵襲性電極を使用して取得されます。
※2:PASATテストは、一定のリズムで読み上げられる1桁の数を聞き、前後の数を加算した数を順次回答するものです。
■実験タスクの概要
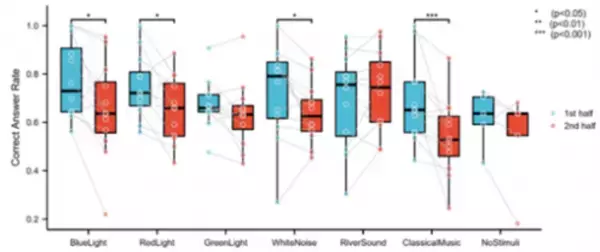
今回のPASATテストでは、通常の環境下で2分間テストを行った後、休憩を入れずに環境光(Red、Blue、Green)と背景音(White Noise、River Sound、Classic Music)下でのテストを2分間行い、前半と後半の脳波とPASATテストの正答率を比較しました。
その結果、背景音として、River Soundを流すことで、正答率が向上する傾向がみられました(図1)。
また、赤いライトと比較して、River Soundのγ波が有意差に高い(1%水準)傾向が得られました(図2)。
図1. 刺激前後のテストの正答率の比較
図2. 刺激を与えたときの脳波(γ波)の値
■考察
学習時の集中力が切れるタイミングで、背景音としてRiver Sound(川のせせらぎ)を流すことで、集中力が維持、向上できる可能性があることが分かりました。今後、サービスとして展開をするために、実験協力者を増やし、また刺激に対する感度を把握し、どのような刺激がより集中力を向上できるかを検証していきます。
■菅谷 みどり教授(情報工学科)のコメント
脳波信号の研究は数多くなされていますが、本研究は、集中を維持する方法を明らかにすることを目的として、視覚や聴覚などの異なるタイプの単一モーダル刺激の影響を特に複数回のテストを実施した場合で比較検証しました。今回、環境光よりも、背景音、特に聴覚刺激であるRiver Soundが、正答率を維持する影響があることが分かりました。人と環境の関係はまだ十分明らかになっているとは言い切れず、様々な評価を通して人の適応状態や感情を明らかにすることは重要な意義があります。引き続き、我々は社会に貢献する研究開発を推進していきます。
■芝浦工業大学とは
工学部/システム理工学部/デザイン工学部/建築学部/大学院理工学研究科
https://www.shibaura-it.ac.jp/理工系大学として日本屈指の学生海外派遣数を誇るグローバル教育と、多くの学生が参画する産学連携の研究活動が特長の大学です。東京都(豊洲)と埼玉県(大宮)に2つのキャンパス、4学部1研究科を有し、約9,500人の学生と約300人の専任教員が所属。
詳細はこちら
プレスリリース提供元:@Press
今回の実証実験では、集中力が落ちてくるタイミングに、「川のせせらぎ(River Sound)」を流すことで、集中力を表す脳波が上昇することを確認しました。
なお、本論文は、IoTに関する技術を議論する国際会議、APRIS(Asia Pacific Conference on Robot IoT System Development and Platform)2023に採択されました。
■背景
学習時の集中力が低下してきたタイミングに視覚や聴覚を通じた刺激により集中力を途切れさせることなく、学習を効率的に行えるのではないかとの仮説に至り今回の実証実験につながりました。今回の実験結果を応用することで、個人の勉強だけではなく、授業の最適化、日常の作業の効率向上につながることも期待されます。
集中力の維持を個人の努力に委ねるのではなく、状況に合わせて自動的に集中力を維持、向上するようなサービスへの展開が期待されます。
なお、筆記動作から集中力を予測する研究は、「2023年度人工知能学会全国大会(第37回)」に論文が採択されております。
■実験手法
EEG※1(Electro Encephalo Graphy)信号を取得するInteraXon Inc.製のヘッドバンドを装着した実験協力者に対し、情報処理能力を測定することができるPASAT※2(Paced Auditory Serial Additions Task Clinical Assessment for Attention)テストを実施しました。
PASATテストは前後半それぞれ2分の計4分間行い、後半の2分間では実験協力者に対してさまざまな視聴覚刺激を与えます。この時の脳波とPASATテストの正答率を前後半で比較し、各視聴覚刺激によって集中力がどのように変化するかを調査いたしました。
※1:EEGは、頭皮上の脳の自発的な生物学的電位を増幅して記録することによって得られる信号パターンです。この電位は脳表面の巨視的な活動を反映することが示されており、頭皮に適用される非侵襲性電極を使用して取得されます。
※2:PASATテストは、一定のリズムで読み上げられる1桁の数を聞き、前後の数を加算した数を順次回答するものです。
■実験タスクの概要
今回のPASATテストでは、通常の環境下で2分間テストを行った後、休憩を入れずに環境光(Red、Blue、Green)と背景音(White Noise、River Sound、Classic Music)下でのテストを2分間行い、前半と後半の脳波とPASATテストの正答率を比較しました。
その結果、背景音として、River Soundを流すことで、正答率が向上する傾向がみられました(図1)。
また、赤いライトと比較して、River Soundのγ波が有意差に高い(1%水準)傾向が得られました(図2)。
図1. 刺激前後のテストの正答率の比較
図2. 刺激を与えたときの脳波(γ波)の値
■考察
学習時の集中力が切れるタイミングで、背景音としてRiver Sound(川のせせらぎ)を流すことで、集中力が維持、向上できる可能性があることが分かりました。今後、サービスとして展開をするために、実験協力者を増やし、また刺激に対する感度を把握し、どのような刺激がより集中力を向上できるかを検証していきます。
■菅谷 みどり教授(情報工学科)のコメント
脳波信号の研究は数多くなされていますが、本研究は、集中を維持する方法を明らかにすることを目的として、視覚や聴覚などの異なるタイプの単一モーダル刺激の影響を特に複数回のテストを実施した場合で比較検証しました。今回、環境光よりも、背景音、特に聴覚刺激であるRiver Soundが、正答率を維持する影響があることが分かりました。人と環境の関係はまだ十分明らかになっているとは言い切れず、様々な評価を通して人の適応状態や感情を明らかにすることは重要な意義があります。引き続き、我々は社会に貢献する研究開発を推進していきます。
■芝浦工業大学とは
工学部/システム理工学部/デザイン工学部/建築学部/大学院理工学研究科
https://www.shibaura-it.ac.jp/理工系大学として日本屈指の学生海外派遣数を誇るグローバル教育と、多くの学生が参画する産学連携の研究活動が特長の大学です。東京都(豊洲)と埼玉県(大宮)に2つのキャンパス、4学部1研究科を有し、約9,500人の学生と約300人の専任教員が所属。
2024年には工学部が学科制から課程制に移行し、従来の教育の在り方を根本から変えていきます。創立100周年を迎える2027年にはアジア工科系大学トップ10を目指し、教育・研究・社会貢献に取り組んでいます。
詳細はこちら
プレスリリース提供元:@Press
関連リンク
-
new
嫁の身内が他界…「葬儀は安く済ませろw」と嘲笑う夫と義母。だが後日「嘘だろ…」衝撃の事実に崩れ落ちたワケ…
-
グローバルなHR(人事)を体系的に学べる!「Every HR Academy ~経営と人事を繋ぐHRBP養成講座~」2026年5月21日より第20期生(2026年8月29日~)募集開始 UC Berkeley上級教授共同開発プログラムで、世界基準の人事を習得
-
広島ホームテレビ【カープ道】「ビジター観戦が楽しくなる!聖地巡りin福岡」
-
「謝れないガキが」と怒鳴られて…“常習犯”と決めつけられた私、謝れば終わる?それとも人生が終わる?
-
CGの制作現場の基礎力を学ぶならこの一冊!ロングセラーテキスト『入門CGデザイン-CG制作の基礎-[第2版]』好評発売中