<新刊>受講者40,000人超、公教育の場でリピートされる「プレゼン力」を育む人気プログラムのエッセンスを書籍化
一般社団法人アルバ・エデュの代表理事 竹内 明日香の初の著書、『すべての子どもに「話す力」を――1人ひとりの未来をひらく「イイタイコト」の見つけ方』が英治出版株式会社(東京都渋谷区、代表取締役 原田 英治)より出版されます(2022年5月28日発売予定)。
書影
一般社団法人アルバ・エデュの代表理事であり、本書籍の著者である竹内は、日本興業銀行(現みずほ銀行)にて国際営業や審査等に従事後、2007年に独立し海外投資家と仕事をする中で、日本人のプレゼンの弱さに課題意識を持ちました。「この力は子どものうちから鍛えなければ、多くの可能性が閉ざされてしまう」と考え、2014年、子どもの「話す力」の向上を目指す一般社団法人アルバ・エデュを設立し、子ども向けのプレゼン講座を学校向けに提供開始。現在では、子どもたちの「話す力」を高めるモデル授業や教員向けの研修を含むプログラムを自治体向けに提供しています(令和4年度は、全国12自治体で実施予定)。2022年5月現在、受講者は全国でのべ43,600人にのぼります。
授業イメージ
◆プレゼン授業によって、子どもたちの「聞く力」や「学力」まで向上
プログラムを受けた子どもたちの変化は、「プレゼンが得意になる」だけではありません。自分が発信するメッセージを磨く訓練をすることで、他者の発信の要点にも気づけるようになり、相手の話を「聞く力」も向上したという声を受講者やその保護者から聞きます。
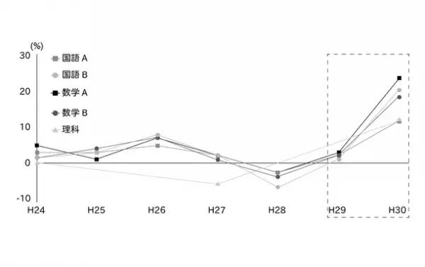
さらに、一般教科の学力が全国平均を下回り、下降傾向にあった研究指定校の文京区立文林中学校では、プログラムの導入年度から学力全般が顕著に上がり、ほとんどの教科において全国平均より10~20%高くなりました(図1)。
文京区立文林中学校における全国学力・学習状況調査の推移(全国平均値を0としたときの正答率の差)
図1 :文京区立文林中学校における全国学力・学習状況調査の推移(全国平均値を0としたときの正答率の差)。転線枠内がプレゼン授業を導入した年の結果。
出典:「文京区立文林中学校研究起要」より作成
◆「伝わった!」という体験が、一生ものの「自己効力感」を育む
上記の結果の背景には、プレゼン授業による子どもたちの自己効力感の向上があると考えます。自己効力感とは、「自分は自分の人生を掌握できている」「難題にも対応できる」という自信です(『EQ こころの知能指数』(ダニエル・ゴールマン著、講談社)より)。安心安全な場でプレゼンをし、聞き手から拍手をもらう体験をすることで、「自分の発信が通じた!」「自分にも何かを変えられるかも!」という自信が育まれるのです。
従来型の学力テストは不得意であったとしても、自分の興味ある分野についてなら調べるのも発表するのも苦にならない子はたくさんいます。数字で評価を気にして「正しさ」を探すのではなく、安心して自分の「好き」を語れる場こそが、子どもたちの自信を育むのに最適な場だと私たちは考えています。
◆「社会を変えられる」と思う子が“2割以下”の国を変えるカギ
2019年におこなわれた日本財団の「18歳意識調査」によると、「自分で国や社会を変えられると思う」に「はい」と回答した子の割合は、日本では調査した9か国で最低の18.3%でした(図2)。
人類の長い歴史を思い返すと、最初は人から白い目で見られながらも、熱い思いで「プレゼン」をして世の中を変えてきた先人がいたからこそ、今の我々の生活があるのではないでしょうか。ますます先を見通しづらくなっていく時代を切り拓くカギはプレゼン力であり、それを子どものうちから鍛えることが良い未来に繋がっていくと信じて活動を続けています。
「自分で国や社会を変えられると思う」に「はい」と回答した割合
図2 :「自分で国や社会を変えられると思う」に「はい」と回答した割合
出典:日本財団「18歳意識調査『第20回─社会や国に対する意識調査─』」より作成
「自分自身に満足している」に「そう思う/どちらかといえばそう思う」と回答した割合
図3 :「自分自身に満足している」に「そう思う/どちらかといえばそう思う」と回答した割合
出典::内閣府「特集1 日本の若者意識の現状~国際比較からみえてくるもの~」『令和元年版 子供・若者白書』より作成
◆8年間、4万人以上の子どもたちに授業を届けてきた経験・学びを凝縮した1冊
そんなアルバ・エデュの創設者・代表理事の竹内が執筆した本書では、全国の学校で8年間・40,000人以上に授業を届けてきた経験とプログラムのエッセンスを凝縮しています。
▼ポイント(1)【「話す力」のHow】どうすれば子どもの「話す力」を育めるのか?
900社以上と仕事をし、数多くの企業のプレゼンを支援......ビジネスの世界での豊富な経験を生かし、日本中の学校を回りながら8年かけて練り上げた子ども向けプログラムの実践法と哲学を、「考える」「伝える」「見せる」の3ステップで解説します。子どもが安心して発信できる環境づくり・声かけの例も掲載。
《考える》何よりも大事な「イイタイコト」を見つける4ステップ
《伝える》道具いらずですぐにできる3つの発声トレーニング
《見せる》「新聞づくり」との違いを意識しよう
《「話せるクラス」に必要なこと》心理的に安全な環境をつくる
《大人の私たち一人ひとりにできること》「第三の大人」だからこそ見つけられるものがある
......など
話す力に大事なコト
▼ポイント(2)【「話す力」のWhy】「話す力」はなぜ重要で、どうしていまの日本では育たないのか?
どんなに能力が高くても、最後の最後に「話す力」だけが足りずに挫折する──受験面接、就活、ビジネス現場のプレゼン......いずれ子どもたちが通るさまざまな場面での苦難を目の当たりにしてきた著者が、豊富な現場エピソードとデータから提言します。「正しさ」よりも「好き」を力強く語れる教育・社会のあり方とは?そのために必要な「社会・文化」「教育政策」「学校経営」「授業現場」の4層のチャレンジとは?
《なぜいま「話す力」は重要なのか》可能性を生かすための最後の一歩
《社会・文化のチャレンジ》年長者に意見できないヒエラルキー構造
《教育政策のチャレンジ》話す力を重視するカリキュラムの欠如
《学校経営のチャレンジ》保護者への説明責任から生まれる「評価」のプレッシャー
《授業現場のチャレンジ》意見表明の機会がない国語の授業
......など
■著者プロフィール
竹内 明日香(たけうち あすか)
一般社団法人アルバ・エデュ 代表理事
竹内 明日香
東京大学法学部卒業。
<寄稿・講演>
2021年 講談社ウェブマガジン コクリコ
2020年 東洋経済オンライン
2019年 英治出版オンライン
■書籍概要
「伝わった!」は、一生ものの自信になる。
学年とともに言えなくなる意見、出せなくなる個性──
子どもに宿る可能性は、「プレゼン力」で開花する。
「学力」や「普段の生活」まで変えるこの力は、どうすれば育めるのか?
受講者40,000人以上、公教育の場でリピートされる人気プログラムのエッセンスを凝縮!
多数の実績・受賞歴を持つ注目の活動家が、経験のすべてを詰め込んだ渾身の1冊。
★経済産業省「キャリア教育アワード」中小企業の部 優秀賞(2015年)
★日本財団ソーシャルイノベーター2018
★2020年度 オンライン学校 最優秀賞
【目次】
第1章 どんな子でも、話せるようになる
第2章 教育のラストワンマイル──なぜいま「話す力」は重要なのか
第3章 考える力──一番多くの時間を割くべきところ
第4章 伝える力──日本人の弱点、けれど鍛えれば即効性があるもの
第5章 見せる力──陥りがちな罠に注意、けれど絶大なパワーを持つもの
第6章 「話せるクラス」に必要なこと
第7章 4層のチャレンジ
第8章 大人の私たち一人ひとりにできること
第9章 「話せる国」に向かって
■出版記念イベントのお知らせ
出版を記念してオンライン(Zoom)対談会を開催します。ゲスト: 木村 泰子 大空小学校初代校長
日時 : 2022年6月5日(日)9:00-10:30
詳細 :https://peatix.com/event/3253567
詳細はこちら
プレスリリース提供元:@Press
書影
一般社団法人アルバ・エデュの代表理事であり、本書籍の著者である竹内は、日本興業銀行(現みずほ銀行)にて国際営業や審査等に従事後、2007年に独立し海外投資家と仕事をする中で、日本人のプレゼンの弱さに課題意識を持ちました。「この力は子どものうちから鍛えなければ、多くの可能性が閉ざされてしまう」と考え、2014年、子どもの「話す力」の向上を目指す一般社団法人アルバ・エデュを設立し、子ども向けのプレゼン講座を学校向けに提供開始。現在では、子どもたちの「話す力」を高めるモデル授業や教員向けの研修を含むプログラムを自治体向けに提供しています(令和4年度は、全国12自治体で実施予定)。2022年5月現在、受講者は全国でのべ43,600人にのぼります。
授業イメージ
◆プレゼン授業によって、子どもたちの「聞く力」や「学力」まで向上
プログラムを受けた子どもたちの変化は、「プレゼンが得意になる」だけではありません。自分が発信するメッセージを磨く訓練をすることで、他者の発信の要点にも気づけるようになり、相手の話を「聞く力」も向上したという声を受講者やその保護者から聞きます。
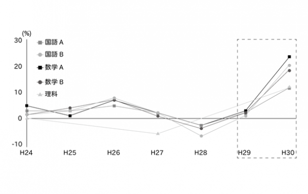
さらに、一般教科の学力が全国平均を下回り、下降傾向にあった研究指定校の文京区立文林中学校では、プログラムの導入年度から学力全般が顕著に上がり、ほとんどの教科において全国平均より10~20%高くなりました(図1)。
文京区立文林中学校における全国学力・学習状況調査の推移(全国平均値を0としたときの正答率の差)
図1 :文京区立文林中学校における全国学力・学習状況調査の推移(全国平均値を0としたときの正答率の差)。転線枠内がプレゼン授業を導入した年の結果。
出典:「文京区立文林中学校研究起要」より作成
◆「伝わった!」という体験が、一生ものの「自己効力感」を育む
上記の結果の背景には、プレゼン授業による子どもたちの自己効力感の向上があると考えます。自己効力感とは、「自分は自分の人生を掌握できている」「難題にも対応できる」という自信です(『EQ こころの知能指数』(ダニエル・ゴールマン著、講談社)より)。安心安全な場でプレゼンをし、聞き手から拍手をもらう体験をすることで、「自分の発信が通じた!」「自分にも何かを変えられるかも!」という自信が育まれるのです。
従来型の学力テストは不得意であったとしても、自分の興味ある分野についてなら調べるのも発表するのも苦にならない子はたくさんいます。数字で評価を気にして「正しさ」を探すのではなく、安心して自分の「好き」を語れる場こそが、子どもたちの自信を育むのに最適な場だと私たちは考えています。
◆「社会を変えられる」と思う子が“2割以下”の国を変えるカギ
2019年におこなわれた日本財団の「18歳意識調査」によると、「自分で国や社会を変えられると思う」に「はい」と回答した子の割合は、日本では調査した9か国で最低の18.3%でした(図2)。
また、内閣府の『令和元年版 子供・若者白書』によれば、「自分自身に満足している」に「そう思う/どちらかといえばそう思う」と回答した子の割合は、日本ではやはり調査対象7か国で最低の45.1%でした(図3)。
人類の長い歴史を思い返すと、最初は人から白い目で見られながらも、熱い思いで「プレゼン」をして世の中を変えてきた先人がいたからこそ、今の我々の生活があるのではないでしょうか。ますます先を見通しづらくなっていく時代を切り拓くカギはプレゼン力であり、それを子どものうちから鍛えることが良い未来に繋がっていくと信じて活動を続けています。
「自分で国や社会を変えられると思う」に「はい」と回答した割合
図2 :「自分で国や社会を変えられると思う」に「はい」と回答した割合
出典:日本財団「18歳意識調査『第20回─社会や国に対する意識調査─』」より作成
「自分自身に満足している」に「そう思う/どちらかといえばそう思う」と回答した割合
図3 :「自分自身に満足している」に「そう思う/どちらかといえばそう思う」と回答した割合
出典::内閣府「特集1 日本の若者意識の現状~国際比較からみえてくるもの~」『令和元年版 子供・若者白書』より作成
◆8年間、4万人以上の子どもたちに授業を届けてきた経験・学びを凝縮した1冊
そんなアルバ・エデュの創設者・代表理事の竹内が執筆した本書では、全国の学校で8年間・40,000人以上に授業を届けてきた経験とプログラムのエッセンスを凝縮しています。
▼ポイント(1)【「話す力」のHow】どうすれば子どもの「話す力」を育めるのか?
900社以上と仕事をし、数多くの企業のプレゼンを支援......ビジネスの世界での豊富な経験を生かし、日本中の学校を回りながら8年かけて練り上げた子ども向けプログラムの実践法と哲学を、「考える」「伝える」「見せる」の3ステップで解説します。子どもが安心して発信できる環境づくり・声かけの例も掲載。
《考える》何よりも大事な「イイタイコト」を見つける4ステップ
《伝える》道具いらずですぐにできる3つの発声トレーニング
《見せる》「新聞づくり」との違いを意識しよう
《「話せるクラス」に必要なこと》心理的に安全な環境をつくる
《大人の私たち一人ひとりにできること》「第三の大人」だからこそ見つけられるものがある
......など
話す力に大事なコト
▼ポイント(2)【「話す力」のWhy】「話す力」はなぜ重要で、どうしていまの日本では育たないのか?
どんなに能力が高くても、最後の最後に「話す力」だけが足りずに挫折する──受験面接、就活、ビジネス現場のプレゼン......いずれ子どもたちが通るさまざまな場面での苦難を目の当たりにしてきた著者が、豊富な現場エピソードとデータから提言します。「正しさ」よりも「好き」を力強く語れる教育・社会のあり方とは?そのために必要な「社会・文化」「教育政策」「学校経営」「授業現場」の4層のチャレンジとは?
《なぜいま「話す力」は重要なのか》可能性を生かすための最後の一歩
《社会・文化のチャレンジ》年長者に意見できないヒエラルキー構造
《教育政策のチャレンジ》話す力を重視するカリキュラムの欠如
《学校経営のチャレンジ》保護者への説明責任から生まれる「評価」のプレッシャー
《授業現場のチャレンジ》意見表明の機会がない国語の授業
......など
■著者プロフィール
竹内 明日香(たけうち あすか)
一般社団法人アルバ・エデュ 代表理事
竹内 明日香
東京大学法学部卒業。
日本興業銀行(現みずほ銀行)を経て、2007年に独立。海外向けに日系企業の情報を提供。2009年に株式会社アルバ・パートナーズを設立、日本企業の海外事業や情報発信(企業プレゼン等)を支援。2014年、子どもの「話す力」の向上を目指す一般社団法人アルバ・エデュを設立。教員研修や児童・生徒を対象としたモデル授業を展開。株式会社日陸(2022年10月1日よりNRS株式会社)社外取締役。一般社団法人未来の先生フォーラム理事。公立小元PTA会長。
2022年5月には書籍『すべての子どもに「話す力」を』(英治出版)を出版。二男一女の母。
<寄稿・講演>
2021年 講談社ウェブマガジン コクリコ
2020年 東洋経済オンライン
2019年 英治出版オンライン
■書籍概要
「伝わった!」は、一生ものの自信になる。
学年とともに言えなくなる意見、出せなくなる個性──
子どもに宿る可能性は、「プレゼン力」で開花する。
「学力」や「普段の生活」まで変えるこの力は、どうすれば育めるのか?
受講者40,000人以上、公教育の場でリピートされる人気プログラムのエッセンスを凝縮!
多数の実績・受賞歴を持つ注目の活動家が、経験のすべてを詰め込んだ渾身の1冊。
★経済産業省「キャリア教育アワード」中小企業の部 優秀賞(2015年)
★日本財団ソーシャルイノベーター2018
★2020年度 オンライン学校 最優秀賞
【目次】
第1章 どんな子でも、話せるようになる
第2章 教育のラストワンマイル──なぜいま「話す力」は重要なのか
第3章 考える力──一番多くの時間を割くべきところ
第4章 伝える力──日本人の弱点、けれど鍛えれば即効性があるもの
第5章 見せる力──陥りがちな罠に注意、けれど絶大なパワーを持つもの
第6章 「話せるクラス」に必要なこと
第7章 4層のチャレンジ
第8章 大人の私たち一人ひとりにできること
第9章 「話せる国」に向かって
■出版記念イベントのお知らせ
出版を記念してオンライン(Zoom)対談会を開催します。ゲスト: 木村 泰子 大空小学校初代校長
日時 : 2022年6月5日(日)9:00-10:30
詳細 :https://peatix.com/event/3253567
詳細はこちら
プレスリリース提供元:@Press
関連リンク
-
株式会社イーラーニング、「ラーニングイノベーショングランプリ2026」に協賛特別賞「EduAI賞」で教育DX・AI活用の研究を応援
-
【無料アーカイブ配信中】「診断名」に縛られない育て方と社会のつながり、ケアまで。山口有紗先生×井上雅彦先生が描く支援の未来とは「LITALICO MIRAI FES」レポ
-
暑い夏を乗り切る! イオンに子ども向けの紫外線対策・熱中症対策アイテムが続々登場
-
夜尿症と発達障害の深い関係。宿泊行事前に多い駆け込み受診、子どもの「自尊心」の守り方は?【夜尿症セミナーレポ後編】
-
「学生が主役」の教育環境へ 東京歯科衛生専門学校、新校長・李 昌一の就任および教育方針刷新のお知らせ